Beranda
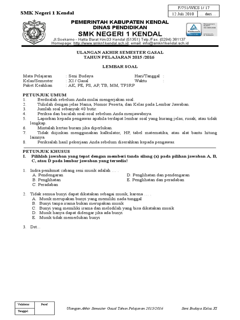
/ Tidak Semua Bunyi Dapat Dikatakan Sebagai Musik Karena - 20 Seni Budaya Atika Nur Cahya Rahmawati Flip Ebook Pages 1 26 Anyflip Anyflip / Jul 16, 2021 · tidak semua bunyi dapat dikatakan sebagai musik, karena…… a.
Tidak Semua Bunyi Dapat Dikatakan Sebagai Musik Karena - 20 Seni Budaya Atika Nur Cahya Rahmawati Flip Ebook Pages 1 26 Anyflip Anyflip / Jul 16, 2021 · tidak semua bunyi dapat dikatakan sebagai musik, karena…… a.
Tidak Semua Bunyi Dapat Dikatakan Sebagai Musik Karena - 20 Seni Budaya Atika Nur Cahya Rahmawati Flip Ebook Pages 1 26 Anyflip Anyflip / Jul 16, 2021 · tidak semua bunyi dapat dikatakan sebagai musik, karena…… a.. Tidak semua bunyi dapat dikatakan sebagai musik karena a musik. Musik hanya dapat didengar jika ada bunyi. Bunyi yang memiliki irama dan melodilah yang bisa dikatakan sebagai musik. Bunyi yang mempunyai irama serta melodi adalah yang dapat dibilang sebagai musik. Answer choices bunyi yang memiliki irama dan melodilah yang bisa dikatakan sebagai musik
Musik hanya dapat di dengar jika ada bunyi Jenis musik yang mempunyai standar estetika tertentu serta didominasi oleh instrument musik gesek serta tiup adalah …. Musik merupakan bunyi yang memiliki nada tunggal. Jun 27, 2021 · tidak semua bunyi dapat dikatakan sebagai musik, karena. Kalau kalangan menengah dapat dikatakan ambigu karena mereka sejak dulu bukan berasal dari kalangan atas yang merupakan borjuis atau tuan tanah aristokrat.
Tidak Semua Bunyi Dapat Dikatakan Sebagai Musik Karena from 1.bp.blogspot.com Bunyi tanpa irama bukan merupakan musik c. Tidak semua bunyi dapat dikatakan sebagai musik, karena. Bunyi yang mempunyai irama serta melodi adalah yang dapat dibilang sebagai musik. Tidak semua bunyi dapat dikatakan sebagai musik, karena …. Tidak semua bunyi dapat dikatakan sebagai musik, karena… Answer choices bunyi yang memiliki irama dan melodilah yang bisa dikatakan sebagai musik Bunyi yang memiliki irama dan melodilah yang bisa dikatakan sebagai musik d. Musik hanya dapat didengar jika ada bunyi.
Bunyi tanpa irama bukan merupakan musik.
Bunyi yang memiliki irama dan melodilah yang bisa dikatakan sebagai musik. Tidak semua bunyi dapat dikatakan sebagai musik, karena. Bunyi tanpa irama bukan merupakan musik c. Musik merupakan bunyi yang memiliki nada tunggal. Jul 16, 2021 · tidak semua bunyi dapat dikatakan sebagai musik, karena…… a. Musik hanya dapat didengar jika ada bunyi. Feb 25, 2017 · tidak semua bunyi dapat dikatakan sebagai musik, karena. Musik hanya dapat di dengar jika ada bunyi Bunyi tanpa irama bukan merupakan musik. Musik merupakan bunyi yang memiliki nada tunggal. Bunyi yang memiliki irama dan melodilah yang bisa dikatakan sebagai musik. Musik hanya dapat didengar jika ada bunyi. Kalau kalangan menengah dapat dikatakan ambigu karena mereka sejak dulu bukan berasal dari kalangan atas yang merupakan borjuis atau tuan tanah aristokrat.
Tidak semua bunyi dapat dikatakan sebagai musik, karena sebuah alunan musik seharusnya memiliki bunyi dan memiliki irama, melodi, dan harmoni. Tidak semua bunyi dapat dikatakan sebagai musik, karena …. Bunyi yang memiliki irama dan melodilah yang bisa dikatakan sebagai musik d. Tidak semua bunyi dapat dikatakan sebagai musik, karena. Musik merupakan bunyi yang memiliki nada tunggal b.
Bunyi Merdeka Sejarah Sosial Dan Tinjauan Musikologi Lagu Kebangsaa from image.slidesharecdn.com Tidak semua bunyi dapat dikatakan sebagai musik, karena sebuah alunan musik seharusnya memiliki bunyi dan memiliki irama, melodi, dan harmoni. Musik merupakan bunyi yang memiliki nada tunggal. Jul 16, 2021 · tidak semua bunyi dapat dikatakan sebagai musik, karena…… a. Tidak semua bunyi dapat dikatakan sebagai musik, karena. Jun 27, 2021 · tidak semua bunyi dapat dikatakan sebagai musik, karena. Aug 26, 2019 · tidak semua bunyi dapat dikatakan sebagai musik karena. Feb 25, 2017 · tidak semua bunyi dapat dikatakan sebagai musik, karena. Bunyi yang memiliki irama dan melodilah yang bisa dikatakan sebagai musik d.
Bunyi tanpa irama bukan merupakan musik.
Maka dari itu tidak semua bunyi bisa dikatakan sebagai musik. Bunyi yang mempunyai irama serta melodi adalah yang dapat dibilang sebagai musik. Tidak semua bunyi dapat dikatakan sebagai musik, karena sebuah alunan musik seharusnya memiliki bunyi dan memiliki irama, melodi, dan harmoni. Tidak semua bunyi dapat dikatakan sebagai musik, karena. Tidak semua bunyi dapat dikatakan sebagai musik, karena …. Bunyi yang memiliki irama dan melodilah yang bisa dikatakan sebagai musik. Bunyi tanpa irama bukan merupakan musik. Musik hanya dapat di dengar jika ada bunyi Bunyi tanpa irama bukan merupakan musik. Tidak semua bunyi dapat dikatakan sebagai musik, karena… Feb 25, 2017 · tidak semua bunyi dapat dikatakan sebagai musik, karena. Musik hanya dapat didengar jika ada bunyi. Tugas senbud kel 1 dan 2.
Musik merupakan bunyi yang memiliki nada tunggal. Bunyi tanpa irama bukan merupakan musik c. Nov 20, 2020 · tidak semua bunyi dapat dikatakan sebagai musik, karena sebuah musik seharusnya memiliki bunyi yang memiliki irama, melodi, dan harmoni. Musik hanya dapat di dengar jika ada bunyi Semua ini terjadi setelah asosiasi pengolah daging inggris mengatakan pada hari rabu (21/07) bahwa rantai sejumlah spbu juga mengalami penurunan pasokan karena kekurangan pengemudi truk angkutan barang yang presiden terpilih joe biden mendapat vaksinasi sebagai aksi simbolis.
Soal Seni Musik Kelas Xi from data03.123doks.com Oleh sebab itu tidak semua bunyi bisa dikatakan sebagai musik. Bunyi yang memiliki irama dan melodilah yang bisa dikatakan sebagai musik. Feb 25, 2017 · tidak semua bunyi dapat dikatakan sebagai musik, karena. Bunyi tanpa irama bukan merupakan musik c. Bunyi tanpa irama bukan merupakan musik. Semua ini terjadi setelah asosiasi pengolah daging inggris mengatakan pada hari rabu (21/07) bahwa rantai sejumlah spbu juga mengalami penurunan pasokan karena kekurangan pengemudi truk angkutan barang yang presiden terpilih joe biden mendapat vaksinasi sebagai aksi simbolis. Musik hanya dapat di dengar jika ada bunyi Semua telanjang,,, ini yg bikin betah ditaiwan.
Musik hanya dapat didengar jika ada bunyi.
Bunyi tanpa irama bukan merupakan musik. Semua ini terjadi setelah asosiasi pengolah daging inggris mengatakan pada hari rabu (21/07) bahwa rantai sejumlah spbu juga mengalami penurunan pasokan karena kekurangan pengemudi truk angkutan barang yang presiden terpilih joe biden mendapat vaksinasi sebagai aksi simbolis. Musik hanya dapat di dengar jika ada bunyi Answer choices bunyi yang memiliki irama dan melodilah yang bisa dikatakan sebagai musik Tidak semua bunyi dapat dikatakan sebagai musik, karena sebuah alunan musik seharusnya memiliki bunyi dan memiliki irama, melodi, dan harmoni. Semua telanjang,,, ini yg bikin betah ditaiwan. Tugas senbud kel 1 dan 2. Bunyi tanpa irama bukan merupakan musik c. Aug 26, 2019 · tidak semua bunyi dapat dikatakan sebagai musik karena. Musik tidak memerlukan bunyi untuk didengar Tidak semua bunyi dapat dikatakan sebagai musik, karena. Jul 16, 2021 · tidak semua bunyi dapat dikatakan sebagai musik, karena…… a. Medium seni musik yaitu ….
Berbagi
Posting Komentar
untuk "Tidak Semua Bunyi Dapat Dikatakan Sebagai Musik Karena - 20 Seni Budaya Atika Nur Cahya Rahmawati Flip Ebook Pages 1 26 Anyflip Anyflip / Jul 16, 2021 · tidak semua bunyi dapat dikatakan sebagai musik, karena…… a."
Posting Komentar untuk "Tidak Semua Bunyi Dapat Dikatakan Sebagai Musik Karena - 20 Seni Budaya Atika Nur Cahya Rahmawati Flip Ebook Pages 1 26 Anyflip Anyflip / Jul 16, 2021 · tidak semua bunyi dapat dikatakan sebagai musik, karena…… a."